views

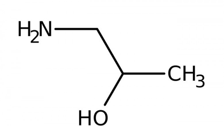
Monoisopropanolamine (MIPA), also known as isopropanolamine, is a chemical used in many applications serving as a stabilizer, an emulsifier, a neutralizer, and chemical intermediate that achieves buffering, basicity, and alkalinity objectives. MIPA is a colorless, clear liquid that is completely miscible with water, benzene, and alcohol. MIPA has the lowest molecular weight of the three standard isopropanolamines. Monoisopropanolamine is an organic compound that is used as a reactive agent, pH regulator, and acidic herbicide neutralizer.
Monoisopropanolamine-based formulations exhibit better color stability, thermal stability, and better oil solubility compared to conventional ethanolamines. MIPA serves as good solubilizer of oil and fat, entails lower formulation costs, and offers heat and color stability. The demand for monoisopropanolamine is expected to increase, as it helps achieve buffering, basicity, and alkalinity objectives in various applications such as metalworking fluids, sulfonic acid-based surfactants, and fatty acid-based surfactants, among others.
Read More:
Click here for Monoisopropanolamine Market Report:
https://www.coherentmarketinsights.com/market-insight/monoisopropanolamine-market-2850