118
views
views

Polyglycerol Sebacate (PGS) Market to Develop Rapidly by 2031
Polyglycerol Sebacate (PGS): Introduction
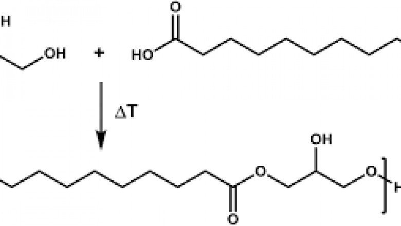
- The Polyglycerol Sebacate (PGS) market has been significantly developing and is expected to expand significantly during the forecast period. PGS is a biodegradable polymer resin that consists of sebacic acid and glycerol polycondensation. It is used for covering bio-materials as an elastomer.
- Demand for PGS is expected to be high among bio-medical companies, who prefer to offer long-term treatment options for cardiovascular and bone defect issues. PGS is used widely in the construction of tissues, especially for the recovery of nerves and cardiovascular tissues.
Key Drivers and Restraints of Global Polyglycerol Sebacate (PGS) Market
- The global PGS market is expected to be driven by growth of the geriatric population around the world and harmful environmental factors due to increased applications in tissue engineering and drug delivery. According to the World Health Organization, nearly 17.9 million people die each year from cardiovascular diseases (CVD), accounting for almost 31% of all deaths worldwide. Demand for the substance is expected to be boosted by the rising prevalence of CVDs and deaths accounted to them.
- Tissue engineering is acclaimed as an enhanced alternative to mechanical support or organ substitution, which offers the PGS market lucrative opportunities. Rise in spending on health services and introduction of modern production practices such as 3D printing are estimated to boost the global PGS market.
Polyglycerol Sebacate (PGS): Type Segment
- In terms of type, the global PGS market can be segmented into soft gel, paste, and extruded products
- The soft gel segment is expected to account for significant share of the global PGS market during the forecast period. It is anticipated to be followed by the paste segment.
- The extruded products segment is likely to expand at a rapid pace during the forecast period, due to the expansion of the polymer industry around the globe
Polyglycerol Sebacate (PGS): Application Segment
- In terms of application, the global PGS market can be segmented into tissue engineering, drug delivery, adhesives, and coatings
- The tissue engineering segment is estimated to expand at a rapid pace during the forecast period. It is projected to be followed by the drug delivery segment.
- The coatings segment is likely to expand at a healthy CAGR during the forecast period, owing to the increase in usage of paints and coatings in heavy commercial vehicles
COVID-19 Impact on Polyglycerol Sebacate (PGS) Market
- On January 30, 2020, the International Health Regulations Emergency Committee of the World Health Organization (WHO) declared the Coronavirus disease (COVID-19) outbreak a public health emergency of international concern. Originating in China, the virus has spread to at least 213 countries and territories around the world.
- Several governments and private sector businesses are operating at a limited capacity or have ceased operations completely due to recent events surrounding the COVID-19 pandemic
- Manufacture of various consumer goods and other products across the globe has come to a halt due to the unavailability of raw materials, shortage of labor, etc. This is expected to hamper the PGS market.
North America to Dominate Polyglycerol Sebacate (PGS) Market
- In terms of region, the global PGS market can be divided into North America, Europe, Asia Pacific, Latin America, and Middle East & Africa
- North America dominated the global PGS market in 2020. This trend is anticipated to continue during the forecast period owing to the presence of an increasingly large population and lifestyle diseases such as obesity, especially in the U.S. However, the PGS market in Asia Pacific is anticipated to expand at a rapid pace owing to the increase in obesity and osteoarthritis prevalence and increased expenditure on health care in emerging countries such as China and India.